这么多品牌都宣传的抗菌、净醛、除醛等概念到底有什么区别?除醛抗菌是不是噱头?今天,小编以兔宝宝全屋定制超芯板为例,一篇给大家讲明白。

抗菌
抗菌剂一般分为无机类和有机类两大类。

(图:银离子抗菌机理)
纳米硅和银离子杀菌原理:
1、破坏细胞壁、蛋白质:固着于超芯板表面的纳米硅和银,与细菌胞壁上暴露的肽聚糖反应,阻止细胞内能量转运,干扰细菌的正常生理活动。其后与细菌内部蛋白质结合,继续破坏细菌的呼吸系统。
2、破坏遗传物质DNA:纳米硅和银与细菌DNA碱基结合,改变DNA结构,抑制DNA转录。
经以上途径,从根源上彻底阻碍了细菌的繁殖,从而达到抗菌防霉效果,且全程无可逆反应。
兔宝宝全屋定制超芯板能有效杀灭金黄色葡萄球菌ASI.89、大肠杆菌ASI.90等,灭菌率≥99%,达到抗菌Ⅰ级标准。
有效灭霉菌菌种黑曲霉AS 3.4463、土曲霉AS 3.3935、宛氏拟青霉AS 3.4253、绳状青霉AS 3.3875、出芽短梗霉AS 3.3984、球毛壳霉AS 3.4254等,达到防霉 0级标准,即不长霉。
兔宝宝全屋定制超芯板还获得抗菌防霉专利优秀奖。


有机抗菌剂主要是提取自然植物中所蕴含的抗菌组分所制成的,如蒲公英、艾草、板蓝根等,有安全性高和毒性较小等优点。
有机抗菌剂杀菌原理:
有机抗菌剂通过破坏细胞膜来杀菌。具有杀菌快,效果好,成本低等优点。但效果不长久,容易出现耐性菌。
因为曾经受到重创的细菌也在不断进化变异,不断适应越来越毒的化学药剂。甚至出现了几乎“刀枪不入”,没有药剂可以对付的所谓“超级细菌”。而这些“超级细菌”曾经是一些比较“温驯”的细菌。如大肠菌O-157、耐性葡萄球菌(MRSA)等。
除醛
兔宝宝全屋定制超芯板用的是独家专利黑科技除醛技术,市面上常见的除醛方式是光触媒除醛。
兔宝宝专利黑科技除醛:
兔宝宝全屋定制超芯板融入兔宝宝创新黑科技“除醛抗菌”专利技术,通过施加甲壳素、纳米硅等天然精粹材料,持续吸附甲醛并在表面分解成无污染的水和肟,用抹布一擦即净。


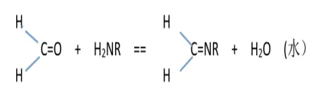
化学方程式:

简单来说,就是通过纳米硅和甲壳素先把甲醛分子吸附过来,再利用甲壳素的大量氨基实施分解过程,从而达到一个除醛的效果。
这一化学反应是不可逆的,并且产物都是无害物质,不会对空间环境造成二次污染。

市面上常见的光触媒技术有一定分解化合物和自清洁功能,主要用于玻璃、瓷砖、马桶等无机材料表面改性,但对高分子树脂材料有较大的破坏作用。对家具板、地板表面密胺、丙烯酸等有机树脂材料,存在粉化和降低附着力的风险。
超芯板如何持续除醛抗菌?
超芯板24小时不间断除醛也不是说说而已。
气体分子撞击后产生的永不停息的无规则运动叫做布朗运动。超芯板表面的甲醛分子无规则且不停地运动,一旦被甲壳素和纳米硅“抓住”就会被分解成水分子和肟。
分子扩散现象遵从高浓度向低浓度移动原则,超芯板的除醛反应使其表面形成了甲醛的低浓度区,所以甲醛分子会不停息向板面扩散,从而达到24小时不间断分解甲醛的效果。经检测,超芯板甲醛净化性能可达90%以上,净化持久性可达83%以上。

兔宝宝全屋定制ENF级超芯板持续除醛,横扫千菌,共饰人们美好生活空间。